首页 / 浏览问题 / 桌面GIS / 问题详情
对模型数据集生成缓存和对场景生成缓存
298EXP 2022年12月05日

通过场景生成缓存和通过模型数据集生成缓存时,同一份数据对应的瓦片边长不同,如下图所示,所以瓦片边长参考哪个值设置比较好

1个回答

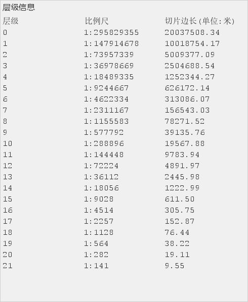
您好,瓦片边长是和比例尺一一对应的,同时也把每一个比例尺或者瓦片边长作为一个层级,将鼠标放在“瓦片边下”右边的问号可以看到对应的关系图,如下图所示:

在生成缓存的时候往往会给你个参考值,根据数据的含义或范围不同选择不同层级的瓦片边长,底层默认一般选择层级14-15也就是1222.99-611.50的瓦片边长,但不是最优,可以根据数据的复杂度做适当的调整。数据精细的 ,瓦片边长在默认的基础上减少 。数据很简单的,瓦片边长增加。

希望可以帮助到您!

2,548EXP 2022年12月05日
这个我明白,但是为什么同一份数据,通过模型数据集生成缓存,和通过场景生成缓存时,瓦片边长也不同呢
模型数据集和对场景生成缓存时瓦片边长略有不同,您可根据以上所述,选择其中一个即可。
...